Photos

















- 3BR, 1BA Home
- $1,150 Pricing
- 850 Square Feet
- Available Now Availability
Unit Rent and Fees
Unit Price
- $1,150
About 6321 Johnnie Terrace
Welcome to 6321 Johnnie Ter, Oklahoma City, OK 73149 — a cozy and functional single-family home located in a quiet neighborhood. This property offers 3 bedrooms and 1 full bathroom with approximately 850 square feet of living space, making it a great fit for families, roommates, or anyone looking for a comfortable place to call home.Home Features:•-3 Bedrooms / 1 Bathroom• Approx. 850 sq. ft.• Central heat and air• Refrigerator included• Washer & dryer hookups• Attached garage plus off-street parking• Spacious fenced yard — great for outdoor enjoymentAdditional Details:• Pets considered (cats and dogs; restrictions may apply)• Tenant responsible for utilities• Security deposit requiredLocation:Conveniently located with quick access to shopping, dining, schools, and major roads while still offering a residential feel
6321 Johnnie Terrace is located in the Cloverleaf Neighborhood and 73149 Zip code of Oklahoma City, OK.
Property Contact Info
- Listed by:
- Agency:
- Vendor Logo:
- Website:
- View Property Website
- Call Us:
- (405) 435-9389
- Disclaimer:
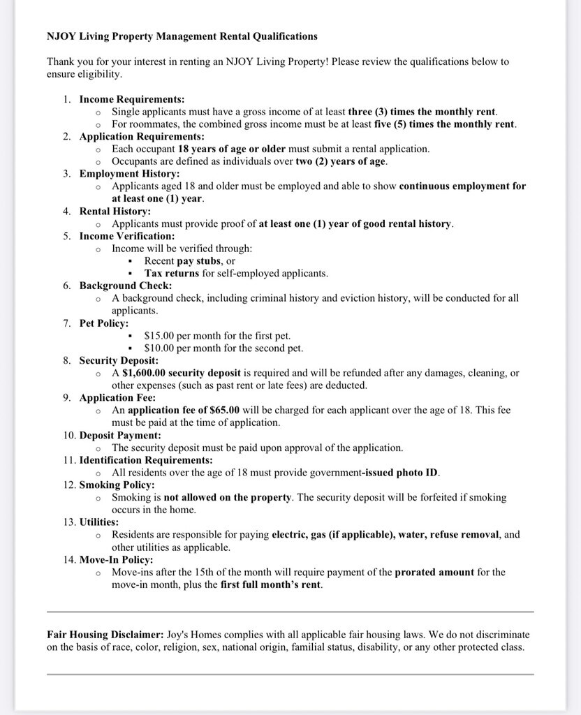
Fees and Policies
Pet Policy and Fees
Cats
AllowedDogs
AllowedProperty Fee Disclaimer: Based on community-supplied data and independent market research. Subject to change without notice. May exclude fees for mandatory or optional services and usage-based utilities.
Features and Amenities
On-Site Services
- Garden Style
Outdoor Features
- Fenced Lot
Interior Features
- Storage Space
- Washer/Dryer
Living Area Features
- Tile Floors

Map
- Shopping
- Colleges
- Grocery
- Medical

Map
Frequently Asked Questions about 6321 Johnnie Terrace
What type of rental is available at 6321 Johnnie Terrace?
There is currently a 3 Bed 1 Bath Home for rent with 850 sq ft listed at 6321 Johnnie Terrace. It is Available Now.
How much is the rent at 6321 Johnnie Terrace?
The rental at 6321 Johnnie Terrace is currently listed at $1,150.
What area of town is 6321 Johnnie Terrace located in?
Located in the Cloverleaf Neighborhood, 6321 Johnnie Terrace is in the 73149 Zip Code of Oklahoma City, OK.
Nearby Schools
Webster Middle School
Hayes Elementary School
About GreatSchools Data on ApartmentHomeLiving.com.
Points of Interest
Time and distance from 6321 Johnnie Terrace.
Big Box and Retail
Walgreen's
Walgreens
Walmart
Colleges and Universities
Groceries
Winco Foods
Aldi
Trader Joes
Hospitals
Oklahoma Center For Orthopaedic & Multi-Specialty Surgery
Military Bases
Tinker Air Force Base
Shopping Centers
6321 Johnnie Terrace has 5 shopping centers within 1.3 miles.
Nearby Neighborhoods
Nearby Apartments
Rental Price Ranges in the Area
| Bedroom | Average Rent | Cheapest Rent | Highest Rent |
|---|---|---|---|
| Oklahoma City Studio Apartments | $1,097 | $550 | $10,000+ |
| Oklahoma City 1 Bedroom Apartments | $1,176 | $546 | $10,000+ |
| Oklahoma City 2 Bedroom Apartments | $1,371 | $695 | $10,000+ |
| Oklahoma City 3 Bedroom Apartments | $1,894 | $799 | $10,000+ |
| Oklahoma City 4 Bedroom Apartments | $1,955 | $610 | $4,000 |
| Oklahoma City 5 Bedroom Apartments | $2,240 | $1,496 | $3,500 |
Browse Top Apartments in Oklahoma City
By Price
- Cheap Oklahoma City Apartments
- Oklahoma City Apartments Under $600
- Oklahoma City Apartments Under $700
- Oklahoma City Apartments Under $800
- Oklahoma City Apartments Under $900
- Oklahoma City Apartments Under $1000
- Oklahoma City Apartments Under $1200
- Oklahoma City Apartments Under $1500
- Oklahoma City Apartments Under $2000
- Oklahoma City Luxury Apartments
By Community Type
- Oklahoma City Apartments for Rent by Owner
- Oklahoma City Apartments with Rent Specials
- Oklahoma City Top Rated Apartments
- Oklahoma City Corporate Apartments
- Oklahoma City Furnished Apartments
- Oklahoma City Gated Apartments
- Oklahoma City Loft Apartments
- Oklahoma City Low Income Apartments
- Oklahoma City Military Apartments
- New Oklahoma City Apartments
- Oklahoma City Senior Apartments
- Oklahoma City Short-term Apartments
- Oklahoma City Student Apartments
- Oklahoma City Apartments with Utilities Included
